SEDEX(沉积喷流型)矿床与VMS(火山成因块状硫化物)矿床是两类重要的热水沉积矿床,它们在形成环境和矿物组合上虽有差异,但由于后期地质改造及部分地球化学特征的相似性,其成因判别长期存在争议。传统地球化学图解方法在处理高维、非线性数据时,往往面临判别边界模糊、分类精度不足的挑战。我国内蒙古东升庙矿床作为重要的锌铅铜多金属资源,其成因一直存在SEDEX与VMS模型的争论,亟需引入新的方法以有效揭示其成矿机制。
近年来,地学大数据与机器学习技术的融合为矿床分类与成因识别开辟了新路径。在这一背景下,开云电竞下载官网(北京)本科生高展(现为直博一年级学生)在张振杰副教授的指导下,与团队成员系统收集了全球典型SEDEX与VMS矿床中超过2400份黄铁矿与黄铜矿样品的微量元素数据,构建了高质量的地球化学数据库(图1、图2)。研究创新性地引入随机森林(RF)、极限梯度提升(XGBoost)、多层感知器(MLP)及堆叠集成(Stacking)等机器学习算法,立了高精度的矿床分类模型。集成学习模型对黄铜矿和黄铁矿的分类准确率分别达到99%与98%,显著优于传统二维判别方法。

图1 数据集中不同矿床类型的分布位置和比例

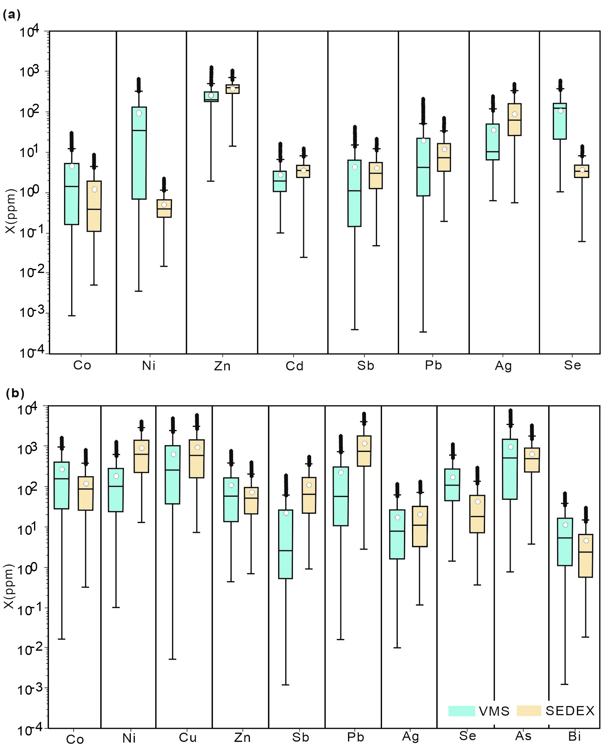
图2 汇编数据集的箱线图(a图为黄铜矿微量元素数据,b图为黄铁矿微量元素数据)
本研究主要取得以下认识:
主要结论一:采用机器学习模型实现了矿床类型的高精度分类,结合SHAP可解释性分析,揭示了关键微量元素对矿床成因差异的控制作用。结果表明,Ni、Se、Pb和Sb等元素在区分两类矿床中具有决定性意义:VMS型黄铜矿显著富集Ni与Se,而SEDEX型黄铁矿则以Sb、Ni、Pb的富集为特征(图3)。该元素分布规律揭示了两类矿床在成矿温度、氧逸度及流体来源上的本质差异:VMS矿床形成于与海底火山活动相关的环境,成矿物质主要来自火山岩系的淋滤;SEDEX矿床则形成于非火山性沉积盆地,金属元素主要通过流体与沉积地层的相互作用而萃取。

图3 黄铜矿和黄铁矿的微量元素重要性(a图为黄铜矿,b图为黄铁矿)
主要结论二:东升庙矿床早期主成矿阶段属于VMS成因类型。通过将训练好的机器学习模型应用于该矿床的LA-ICP-MS数据,集成模型结果显示96%的样本被划分为VMS型,表明其主成矿期的黄铁矿与黄铜矿具有典型的VMS微量元素组成,支持成矿过程主要受同期海底火山热液活动控制。这一结论整合了矿物学、元素地球化学与同位素证据,为厘清该矿床长期存在的成因争议提供了数据驱动的重要依据。
本研究通过融合双矿物地球化学特征与机器学习分类方法,突破了传统判别图的局限,为复杂改造型矿床的成因判定提供了可推广的分析框架。所构建的堆叠集成模型稳定性强、泛化能力高,未来可扩展应用于其他矿床类型的识别与矿产勘查评价,推动智能矿物学的进一步发展。
这项工作得到了国家重点研发计划项目(2023YFC2906402)、国家自然科学基金项目(42430111、42472358和42050103)以及中央高校基本科研业务费(2652023001)的支持。
上述研究成果发表于国际权威地学期刊《American Mineralogist》:Zhan Gao(高展), Zhen-Jie Zhang*(张振杰), Yuan-Zhi Zhou(周远志), Qiu-Ming Cheng(成秋明). 2025. Machine learning investigation of pyrite and chalcopyrite compositions to distinguish SEDEX and VMS deposits: An examination of the genesis of the Dongshengmiao deposit, Inner Mongolia, China. American Mineralogist.
全文链接:https://doi.org/10.2138/am-2025-9907